找回密码
 欢迎注册
楼主: surftan

[讨论] 求两圆半径之比

[复制链接]
发表于 2026-3-28 19:45:18 | 显示全部楼层
参考 1# 和 8# 的图,给个数值解:
蓝色半圆半径 R = 1
s = - 0.1910320976752385
t = 0.840423

红色半圆半径 r1 = 0.694085
绿色半圆半径 r2 = 0.383203
r1 / r2 = 1.81127

s1 = 0.137398
s2 = 0.110908
s3 = 0.026490
毋因群疑而阻独见  毋任己意而废人言
毋私小惠而伤大体  毋借公论以快私情
发表于 2026-3-29 17:57:35 | 显示全部楼层
本帖最后由 Gongwen0519 于 2026-3-29 18:18 编辑

四个变量(m、R,n、r),4个方程却难以解出任何一个来,故比值R/r的表达式也出不来,只能用程序趋近(有待高手出马):
发错了图,今天编辑不了了。
$$
\frac{R}{r}\approx 1.811272599\cdot \cdot \cdot
$$
其中面积S2最好计算的却不需要计算(S2=直角梯形JMNH-扇形KJM-扇形KHN),令人唏嘘。
毋因群疑而阻独见  毋任己意而废人言
毋私小惠而伤大体  毋借公论以快私情
发表于 2026-3-30 08:57:04 | 显示全部楼层
本帖最后由 Gongwen0519 于 2026-3-30 11:27 编辑

四个变量(m、R,n、r),4个方程却难以解出任何一个来,故比值R/r的表达式也出不来,只能用程序趋近(有待高手出马)。其中面积S2最好计算的却不需要计算(S2=直角梯形JMNH-扇形KJM-扇形KHN):
d001.png
2026-03-30_090016.png
d004.png
插图中弓形面积公式打错了,应为:
$$
G_1=\frac{1}{2}\arccos \left( 1-\frac{2R^2}{L^2} \right) \cdot L^2-R\sqrt{L^2-R^2}
$$
$$
G_2=\frac{1}{2}\arccos \left( 1-\frac{2r^2}{L^2} \right) \cdot L^2-r\sqrt{L^2-r^2}
$$
S4的面积积分公司应该为:
$$
S_4=\int_n^{xF}{\left( r-\sqrt{r^2-\left( x-n \right) ^2} \right) \cdot dx+\int_{xF}^L{\sqrt{L^2-x^2}\cdot dx}}
$$
毋因群疑而阻独见  毋任己意而废人言
毋私小惠而伤大体  毋借公论以快私情
发表于 2026-3-30 10:19:04 | 显示全部楼层
Gongwen0519 发表于 2026-3-30 08:57
四个变量(m、R,n、r),4个方程却难以解出任何一个来,故比值R/r的表达式也出不来,只能用程序趋近(有待 ...

S1、S4 的面积换在 y 轴方向积分或许更不容易出错。
毋因群疑而阻独见  毋任己意而废人言
毋私小惠而伤大体  毋借公论以快私情
 楼主| 发表于 2026-3-31 09:35:09 | 显示全部楼层
给出一些计算,希望能提供帮助。
一些计算.png
毋因群疑而阻独见  毋任己意而废人言
毋私小惠而伤大体  毋借公论以快私情
发表于 2026-3-31 11:10:14 | 显示全部楼层
三个带有三角函数和有理分式决定的超越方程组 联立求解的问题,只能数值解了。
既然大家这么感兴趣,那 我给一个更加准确的答案,保留一万位小数
  1. sol = Block[{r2 = 1},
  2.   Solve[{Total[({x1, r1} + r1 {ca, sa})^2] == R^2,
  3.      Total[({x1, r1} - r1 {ca, sa})^2] == R^2,
  4.      Total[({x2, r2} + r2 {cb, sb})^2] == R^2,
  5.      Total[({x2, r2} - r2 {cb, sb})^2] == R^2,
  6. ca^2 + sa^2 == 1,  cb^2 + sb^2 == 1,
  7. (x1 - x2)^2 + (r1 - r2)^2 == (r1 + r2)^2,  r1/r2 == k}, {x1, x2, R, r1, ca, sa, cb, sb}] // FullSimplify]
复制代码


  1. Block[{r2 = 1},
  2. Table[{i,
  3.    FindRoot[{Abs[(R^2*ArcSin[(r1 (1 - sa) )/R] -  r1 (1 - sa) Abs[x1] - (r1^2 (ArcCos[( 2 r1^2 - Total[{r1 ca, r1 (1 - sa)}^2])/(2 r1^2)] -  Sin[ArcCos[(2 r1^2 - Total[{r1 ca, r1 (1 - sa)}^2])/(2 r1^2)]])))] +
  4.         Abs[1/2 (R^2*ArcSin[(r2 (1 - sb) )/R] -  r2 (1 - sb) Abs[x2] - (r2^2 (ArcCos[(2 r2^2 - Total[{r2 cb, r2 (1 - sb)}^2])/(2 r2^2)] -  Sin[ArcCos[(2 r2^2 - Total[{r2 cb, r2 (1 - sb)}^2])/(2 r2^2)]])))] +
  5.         1/2 R^2 (\[Theta]1 - Sin[\[Theta]1]) + 1/2 R^2 (\[Theta]2 - Sin[\[Theta]2]) + 1/2 Pi r1^2 + 1/2 Pi r2^2 == 1/2 Pi R^2,
  6.       Cos[\[Theta]1] == (2 R^2 - 4 r1^2)/(2 R^2),
  7.       Cos[\[Theta]2] == (2 R^2 - 4 r2^2)/(2 R^2)} /. sol[[i]], {{k, 2}, {\[Theta]1, 3/4 Pi}, {\[Theta]2, Pi/4}},  WorkingPrecision -> 100]}, {i, {10}}]]
复制代码

  1. 1.8112725984763279795063184570171558620600719505426715849359452859238078094820127829085184190188887552270106489142675356342896023182482858108110575870340016411800545530543339565856464621939947243764022095544951078291518830151900819547139330525874621011297389762752714039928373694556846204718634299380645310155554295461713042611925626811302489158954009793239055507720223236041692338846050905879895373833404584528268640468197839400747751060334439996900902714041760372865938888454438591185050558346236964102636705181421763401879461203329285028723799389094364370456040068233916918943566740972819045176072856931255852893596274927490854303303683128160154301919070272547325577381428618432343571765357833253500850742980646257649660052010118623300914665137889553144172492961931657665212593204534424417194335303106565643350043561458499783170561619993786756984985470588355327145569480123111690203042747814022100138834307280885461890929129281697634859782881324783015070983351349914019316528244316153757498561461143683020744342027355613537655134696203889000760332746198372858362557551602233178324755822465288719913089445861073755232847455601910341700789086771579888641252570202866339121206682602107259311300578449365210691360828766817723733120471938143652032549716964536077726163862577030663245619979948679301440130219521702115103848656401307001974325788864502730383401936129582059803547761057618929852664938906011385057178172259601040124742701845434338372638642156414206248088323253763479479900683656738270710919104576022476839286637323817831289378179733722472450493191530287771201361383169541361705689150698082513022464181079722796034131932728622532347850535710249298356750758591423802753660481788834855688224786308261936055908096047154308573459166151266055721646610198061041369323140243898843482849995974508579390210689364673020746011307937672595848764026971135203766023733724444395675552626281201496431309982151305624924230484062708014596858581118077265203420557590071806912003320038582059635935074158828117047585913153649148795837852561591344261509405384860838265225957832607278647303920471671029024725274701202126760383203971709718210867403977927707215043783336990476042334495317404803819889851519217745410425272445237187667609720095878725375527678003343245797731606999086697753471217075920857647983791515704665180132032791307827163087160839625706724992558949467011784328672890655858754109061327530613136695187151377595277432551153443445213623786034482313869929285504407754329592419266562556570276613904716202150324590644796546684765480329250333562175473984688839553858711009108298714474536199712903871843558155352832567868948706325169169482193331935350652541740717270985128867006772311705747630515785626156139405181036656585004869517390798401527179785635654457444821662441713526094161330040542170992698983567677727876237516608565353375397821678725203063933133182687838144036066566927057859068314123802099399131880273004306714384509066784435280097493401781060339244063449712720998153989380094624397559744461428127407611323874031012628495109897817672519866947038694456477353597308806893793918203417118556938925086496983870846362834634751802209598823819493469861331087488468551618708362032008643286685412842746145094078401121092812536557816872026982060434639946946435973012900535753883918967631225449283849152126851237115356090242959358649723031499916457756545917293486446842317431396293269879523899929584102791930186280287376302559207428123413306511132710429045658608391246590259881801965879811138481667729108308155299697252776485336607734828766086861100202348310424478837999168027095277174538989766394491265954780376694102656009633477856741522562728279198718319662243736742167902526385508937897955140941376856784762524150182287219458118599726379068117323301006047066260790247781144484761894793959869996104212095397580663313771117450812513062639387368578573666943541672621635612872653017528017924970394266088483769095880708321689753506266596775006973497707024216895764722876985198379386162995747975924307656387339063456664858014645471116798080995188407222725353487009297396306533783087527752239908468703207872646432234375243302213575138403479349778185829628648268803390245521957745024171111156495338106529715839893277238132595892050845942429306626113902814270505673078674831068311394360214308683201518382377402820579314061209054400126276025485442159947301186241857870571026218117679377809221712043928896525055775496690711641912702536913168273572391248232506935900466300947294769751414416092990775275089070224906523738109292439767509766560964014910259377695332326257941890696558499258529969240734970829151973360536901900612798624354459821900428461374970074685012234008239140924166468266754276224621840944883963013638889627212311325143676651831018378808603991160201604517563567310202740479151989742005340163348897367707341560150106831190154897042784017220746885499084712228446730489639951852829983841108190945068807280038083960541721594652699032342024230201079187889797804099347709907383210016577338427546724560392495151401810293432772578225394264673602553747420972188737330862089640633211466678974446531849493691819884264557710390080232224718814796435254897513825610890645235556899431791553281911679469408545161512139180676502114230790528518355673098791594919125220214697498331706197933390041177877332757138741846510589508835368745202946904599049147539096779052713141711445014497276865668755220666430512683678240252251129858772959767884996025108775315428275044010410303871165951137366618264399461013615162525818389019968267120218421965339284786394475850757669044155582406783266795543380258836089263051184770910142229583157520318286951200230461454602563667777477993539146174878816741033317647807547658766973739869678110453686211489989912164996194786812682069351444125162922686541056287659048833066708620945075159502762608917739100425229255114113240712926274704227476638281155430615595836031014380433314422625015582635247577945554559088808059418173279146665072276482872386929535801221509920111015562958459291565599623828845733559568775936798696548616067685353302812475036602341189358122377309264376181558119071222001755934869414691735380139592289233428700413466071024186492697421524635868564216974618997123480324049338859015803214101525481481033737450493349003952717625572384085345116713110334367479499068357630108458503209087448720573493621887601984951248508656619269120974180946393955823737693888775190423324566075125115773058554806843337719172050634700184280581915216857601585817743210528860427493585858697356806340904111460809287454181983067855847889361063976150490961764184902968943949440334297057268200001057776661390685544783973069735766177325143985249130884412725139845873104637885067101256276345679317989972214618329794078424139487154091207106642774888138513674973651044826540365220138667481985057709956348123265927597813623046702120795142056187292627762585994600423663512046542226436398281290727723215724507705365139502553303819625981424045824583721041180392194733808493159495132747882714308687025938977624856901672854278524662429790633904738605771046259632683592814236112123546879731548765919943191753236775785813415727653682459496604594424023827055844395233838646238992224773526012995317428920734851551558809003343918150508548393018034814461054936292439870518429920981115348705637828734187182696476024100625902566812077798932603568873385979352393582930976478049309475614625821917189264419122617128229339336188753798496048746327517619386451243096124798671449124126838506031605176019664161550566866677437160641671468418474269603894129862517642697302219820062620403692596644836658785778393280826925853541831328954776640527806796323640121356039098045535540978800417179838970974249149096254277846990400617044427030683714642510080601175478276223830015539700897133377249123854487888638684326513351255968714489769793283915767288443936175748078965164257704955713448716815117557804420322639155928588986736656885859472917204343266538576403152445946756606993792629473610933127055862329397164410732700892261484817459086883688742314911684315221268648144636221874897924598632663935073618012154578051760299564556860669863241393391262536142651133832096465947137174978816226315335531112768989718384622693386011026773550750749212385242181104192070091609256959336395404614372754270987418322038298205367180948245777554207326725330794303115513110563182048733578212399088568241344680121467494689153285249732165154481642593324421787174518696291911377946833437824177318902207373977806043580475738482550252562734451704496251003163577215258696095375682077642686169180009099862422698781723744211658327200233485315626300885027291090742789783485260144199325881686158037997903088494691683036818769157055809108025858202681073264308203282449573101759147500904271859615992939194203842178586273321751334160133247849280999631486922849649112710400669051589046446067744921205242132666718036699132276274753850726728882210112461423759788987969616112732064712510720857684482196728129703039740075965111518070315430819799893835190225716038684790096191853441730620939156784079952761041745898827773119502910078884292805747888558332226057592572821221828088596452120779872129081598849221689046835362640433129987774415094731169915757222418272024643642377882072516472420638298111659515461782957030419574268744545792273490689150369295743437577575491591190211022092136318127045146947275148732103949230441229018222237341481179436864915275621726463586928183326890400858806930449724951374011800745507291360237666720825157947141356470228677547026056981153785922199143834489455211750814854585283434323950523149972415933363768387237594047330423323549720584403210611779522876334572246762235722638729012226599386280287620315399845192106132067384985037817260154821239890593291034429486205695430166556429258864680882450380166493865700599030883857008023966635753815753980339978576890672322184627047925024576342550667587022097708669248574645256794211111911321234077716964891220292541941733783932923023251379463952621602929182680138076001576736858601080003006040349596426475222401065`10000.
复制代码


此时假设外部的圆半径是1,那么,${\frac{r1}{r2}, \frac{x1}{R},\frac{x2}{R},\frac{r1}{R},\frac{r2}{R},R}$分别是

  1. {1.811272598476327979506318457017155862060071950542671584935945285923807809482012782908518419018888755227010648914267535634289602318248285810811057587034001641180054553054333956585646462193994724376402209554495107829151883015190081954713933052587462101129738976275271403992837369455684620471863429938064531015555429546171304261192562681130248915895400979323905550772022323604169233884605090587989537383340458452826864046819783940074775106033443999690090271404176037286593888845443859118505055834623696410263670518142176340187946120332928502872379938909436437045604006823391691894356674097281904517607285693125585289359627492749085430330368312816015430191907027254732557738142861843234357176535783325350085074298064625764966005201011862330091466513788955314417249296193165766521259320453442441719433530310656564335004356145849978317056161999378675698498547058835532714556948012311169020304274781402210013883430728088546189092912928169763485978288132478301507098335134991401931652824431615375749856146114,
  2. -0.1910320990466657083096882210065852439595619496280053394177369923936127770551106678223025844082019823642530110709963198315342576130398663196687910931288188461819166246335878716190964151763717869440735063050773521909159229181982220043696127365983112164472392240500327527587964051492109630779864580531505246291512362694003774583815712953142373580435753326683973143860341031317588271136287415695026752774295095739336380053518494936212167587889567072242244141379133080104856804797445958549184677822191673945098353650140364136861847587581979487626433120270332048702198941424929670240618316897579769902077270356507093946463324452632264050985377279439349601338786965894045761668303422388310564208933330458405499379746632980344066499748953040805134740578517532953302706500873920914359590122489892589525815880231435544412118937843112653668294025001536432319809756760346606732577318550150904076357765639068931369752364547490828976116957674233334649472806970937946390902167397307638185813410593451541088705645761,
  3. 0.840423332554642807306776464350213972248662683675854149353653667726758344772702188422439002602456378710863409829468655538837394222727782595573370249460845409562129700944044152544052904399426783629571050005533306647528362769329494804992992359565600731517644419219849830945387151659640824014227928006666392047011853154882481454363090051451435789110389171640795004817862658664036010295851030617741691250471772980476700371714481715493108539097962552570344333166645759525641945158132451582245070788396176411820186643705470986581255284501698425801688629674604047406052558826697498774474321771163959142439944241147175679800810779886490013057936999632496564078263931643690428986897416951914470505726062114108868491058724250234440898853617299888093101599932147770934412637770830654815181414484944071855293661896054689622373325159449758266794167311203141038007236965259882949149835921854139437681138636990672924370712438681821473155312068306785980434624003734236553280320302578392661380286910862990813313264472,
  4. 0.694084554335357941978294422390788851610803292195404591631736595977021768234345280980499486752393945120508614900281631777979397040398600019058225690923477493282323606913237376640122708150026342556901364922290738135855587628264012333858312904625191947975279275493496550422793796579213763066436183434509084812046193155516042762867865766022881211845767258790882586732105044134577087396662680939274754018280163732847745171543651320082222102374736140009038905187554195549396222610042889390819752495944589340276097519579751062010196118903791985872117232754879501538178879468368432645054978715040352085581664942766331240043305255096897104190947819434991659247695579396959261069052780844128695952105672147641101757723201245810547241383750031525577233516710431849945023831076774374660022196642385951704618046299741638109626331735825260760166513494556680685940030183219432027366623712541164485876814298876459352216667927852365600594753566273652173120912594327258928257710618591858144067114074891279381427839903,
  5. 0.3832027022985017151190225452455772113800533860567439884187870362579602281195791960542809936620138280353863720730951765408442835935200351207823268264049642619957880995480229324076330889099364934163438664439403066810313955005221391109505439811574096557270587027164952133360121423723392137665951164835632129998033147290314385272922828899160495683827495648412903120102438985821769301123638250287716017002637821886047606372550209934187461867395945867889949678727038452472505851467661292743532403642483272515817047237072220714614647371171123956028455875510389473820933332332913018607069841737556484281629174159052957368453446462622713131303292435272236514082570202572607683441900841989202708806966402952252718344430792371854029265267471442565620074427483112739372478879330452318816653969046892256871068761283840293063455949872826425432530885493882338251210434438513275699491988081612047170193146914196804200183842587155160706185003217774464746093407820660184481606455220420913219942434095469524001143490463,
  6. 1}
复制代码

毋因群疑而阻独见  毋任己意而废人言
毋私小惠而伤大体  毋借公论以快私情
发表于 2026-3-31 13:31:00 | 显示全部楼层
本帖最后由 Gongwen0519 于 2026-3-31 13:57 编辑
wayne 发表于 2026-3-31 11:10
三个带有三角函数和有理分式决定的超越方程组 联立求解的问题,只能数值解了。
既然大家这么感兴趣,那 我 ...


一万位,牛!
不过我也可以,呵呵。
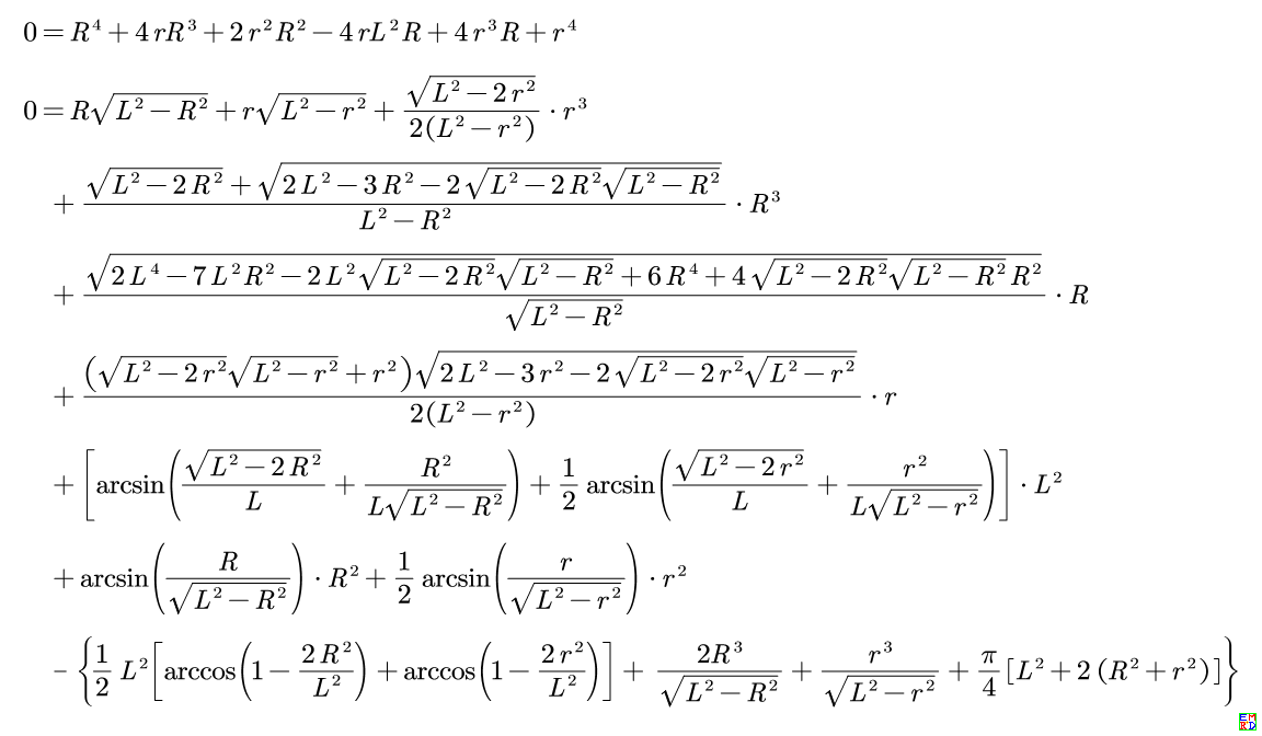
如下图所示,在已知主半圆的半径为L的情况下,其内切于直径且相外切的两个大小半圆的半径R和r的关系满足下面两个方程:
2026-03-30_230952.png
方程一、
$$
0=R^4+4\,rR^3+2\,r^2R^2-4\,rL^2R+4\,r^3R+r^4
$$
方程二、
\begin{align*}
& 0=R\sqrt{L^2-R^2}+r\sqrt{L^2-r^2}+\frac{\sqrt{L^2-2\,r^2}}{2\left( L^2-r^2 \right)}\cdot r^3\\
& \quad +\frac{\sqrt{L^2-2\,R^2}+\sqrt{2\,L^2-3\,R^2-2\,\sqrt{L^2-2\,R^2}\sqrt{L^2-R^2}}}{L^2-R^2}\cdot R^3\\
& \quad +\frac{\sqrt{2\,L^4-7\,L^2R^2-2\,L^2\sqrt{L^2-2\,R^2}\sqrt{L^2-R^2}+6\,R^4+4\,\sqrt{L^2-2\,R^2}\sqrt{L^2-R^2}R^2}}{\sqrt{L^2-R^2}}\cdot R\\
& \quad +\frac{\left( \sqrt{L^2-2\,r^2}\sqrt{L^2-r^2}+r^2 \right) \sqrt{2\,L^2-3\,r^2-2\,\sqrt{L^2-2\,r^2}\sqrt{L^2-r^2}}}{2\left( L^2-r^2 \right)}\cdot r\\
& \quad +\left[ \arcsin \left( \frac{\sqrt{L^2-2\,R^2}}{L}+\frac{R^2}{L\sqrt{L^2-R^2}} \right) +\frac{1}{2}\,\arcsin \left( \frac{\sqrt{L^2-2\,r^2}}{L}+\frac{r^2}{L\sqrt{L^2-r^2}} \right) \right] \cdot L^2\\
& \quad +\arcsin \left( \frac{R}{\sqrt{L^2-R^2}} \right) \cdot R^2+\frac{1}{2}\,\arcsin \left( \frac{r}{\sqrt{L^2-r^2}} \right) \cdot r^2\\
& \quad -\left\{ \frac{1}{2}\,L^2\left[ \arccos \left( 1-\frac{2\,R^2}{L^2} \right) +\arccos \left( 1-\frac{2\,r^2}{L^2} \right) \right] +\,\frac{2R^3}{\sqrt{L^2-R^2}}+\frac{r^3}{\sqrt{L^2-r^2}}+\frac{\pi}{4}\left[ L^2+2\,\left( R^2+r^2 \right) \right] \right\}
\end{align*}
排不好Latex,幂指数都丢了,还是截个图吧:
2026-03-31_133845.png
假定主半圆的半径为L=1,则可以解得(取小数点后180位):
m=0.191032099046665708309688221006585243959561949628005339417736992393612777055110667822302584408201982364253011070996319831534257613039866319668791093128818846181916624633587871619097…
n=0.840423332554642807306776464350213972248662683675854149353653667726758344772702188422439002602456378710863409829468655538837394222727782595573370249460845409562129700944044152544053…

R=0.694084554335357941978294422390788851610803292195404591631736595977021768234345280980499486752393945120508614900281631777979397040398600019058225690923477493282323606913237376640123…
r=0.383202702298501715119022545245577211380053386056743988418787036257960228119579196054280993662013828035386372073095176540844283593520035120782326826404964261995788099548022932407633…

R/r=1.81127259847632797950631845701715586206007195054267158493594528592380780948201278290851841901888875522701064891426753563428960231824828581081105758703400164118005455305433395658565…

点评

我比较懒, 直接软件计算的,代码贴上面了  发表于 2026-3-31 20:09
毋因群疑而阻独见  毋任己意而废人言
毋私小惠而伤大体  毋借公论以快私情
发表于 2026-3-31 20:47:46 | 显示全部楼层
wayne 发表于 2026-3-31 11:10
三个带有三角函数和有理分式决定的超越方程组 联立求解的问题,只能数值解了。
既然大家这么感兴趣,那 我 ...


对16个根分别进行条件判断。
  1. Table[{i, Reduce[x1 > -R && x2 < R && x2 - x1 > 0 && sa > 0 && sb > 0 &&  r1 > 0 && R > 0 && k > 0 /. sol[[i]], k]}, {i, Length[sol]}]
复制代码

发现还漏掉了一个解

  1. 2.746543293411604714557837733581131932519756729552147749783882962340635365089932386162686153790084571098943873737636213528543686882686863414530938196570786341917205323913189880731298658223541634047970550260942065557897973704950329847574163266615062972365136461019521709394642316365358404093636720282259957035805977081465682576733325056924054007126073377913899206445140279484799516145980464989944054610706119501612605118349601985198373700293537773811817700205906513006073840674506183799846682755218067041314363315169010474526897120295442988575989390504124940791702691448269022169781118500962116397737307493555155640871687935312383235072318293486009226584162496823083759149229440916427262138137452001036383642761161402912755913463390851772074312962926621069910213303141084963449855153712844430527513589034525912795023405253541283472485281655599452041368062704729683589423011139230478482399932650290335587374613886017679638160567146212556081760258495768022273598200901072976878788832518466705527152625529
复制代码

此时假设外部的圆半径是1,那么,${\frac{r1}{r2}, \frac{x1}{R},\frac{x2}{R},\frac{r1}{R},\frac{r2}{R},R}$分别是
  1. {2.746543293411604714557837733581131932519756729552147749783882962340635365089932386162686153790084571098943873737636213528543686882686863414530938196570786341917205323913189880731298658223541634047970550260942065557897973704950329847574163266615062972365136461019521709394642316365358404093636720282259957035805977081465682576733325056924054007126073377913899206445140279484799516145980464989944054610706119501612605118349601985198373700293537773811817700205906513006073840674506183799846682755218067041314363315169010474526897120295442988575989390504124940791702691448269022169781118500962116397737307493555155640871687935312383235072318293486009226584162496823083759149229440916427262138137452001036383642761161402912755913463390851772074312962926621069910213303141084963449855153712844430527513589034525912795023405253541283472485281655599452041368062704729683589423011139230478482399932650290335587374613886017679638160567146212556081760258495768022273598200901072976878788832518466705527152625529,
  2. 0.0813195342828973944106756640873933273855215776839219415939833751799277412435335015134882617237225006850808624259776178909818633879182206336758197104086032731236515077234118517178479355482800040303348552486802232034583039745387546213695681184913005682769173924448652146470178888669233915829219671065951038598899608472122679801634867792050519840855330846783709545409220337194981291736571191431649238640192675430216114946642739993096327093818954170922998343560878882329963340626767756557404060402868942254115620160976830730132884345686429442783059733078328334956892131034059709194712740718514456292342341002144127723744122348608308965070478998425688110263482813658915506052281620017911406406543811103743765563140119260120550479794641710699474498218633615878035218135645719997280092639117536178482402937508787819315996542815464807440243919570566827314862365796801249547097286871512144454651557672072078089399659128062426340439806673010509566256224859792804833162237145321009892383887394972498961676244193,
  3. 0.931832695669084429852699289903292824355632308442470363135573984939617447751025635597804349207692094163537086377660055822613018118386400879127492338708517274137529675988783174823654293020775803517109810760203109428071335180263052690342399521947772400409283168343520031197717358157957843940154595322898324708956402693439321401464401256317016738684370071877590550485059292919042976728793845949189310597354073010277476521840477929471768161860598245673208486731666310886303108793066838794026886017624784398377958336211635008589477514607688300323666468994207871461868390492648740683512739989397915176349267590851695415135861957996636151244959231721256357028988467580006518097508610160929954131585263272334925832489293828440113347188272100281068062630134036903166548357292347418447865555641339558879512852165474323197578734604385022905668346442360223013370057606455257115183613819864414821535332959693743052739566704884242177159869005461783848509153784482131870559623240351379093753240912497780129919580044,
  4. 0.704764901702692865931270971919751424696669702122699350742977564402473760716040403413014764228608892838406242652933918477596717021459076433503483554421786292049704648667267469120679006064708869790660832067523616877769334428788624954383137700027817814326084795503956385699210392281655930201411353550545423166138744886003192357168883922256920128055777156593420779398193673642982584818305227079985631531851390768272268422466203079862966378890968545683548366342463734744351204485946053949126805585654329453683624956095310661875196635325568622146255129709030475992837672391264406728600956312534104225954989450081921329691626485194114765756684275057978739849245953240239495434347692537849952971134499766068244587055952448812920018697625860434192443542562543083668540447329602860968955550785785849915254870443851084456913867349730606931933001070878170005408968049081249037523692256723216183817441976850803062463432857192302206268840522629873229245691680268016744332823027120584180226071025430352800737807220,
  5. 0.2566006890891833513666639265496724431902316045329453202512926481198855809210855068736887061708562419243697084439872349882372233113991403612432151439637984008145184752051062708483327327959605236933635032023652943000299601173834155254383030736300462803487443857027607353458644958907686215240201191949177685664698466304059105738774244873367126854892437817291865884347015652757036884363508301518880430732922105859271927294946028574905343726077604152147547381689100500395715177171194191248305077179204930713723899082177913563506329515862309548568305415636459476960549745263328160902363397171610781039363293728683304548232494672195187345066888451487482091625669661606679234233645856153202321029348659613223933011830624465261971443293975712901174771187231296229591873745387814350136940980480596155450391111080612702677708229814508284653896816311630265218964551829395503724388607564695441927693684286872090410846515575132585065094970630742551772808634249813638022343866178558467270436976662193784884347883542,
  6. 1}
复制代码
毋因群疑而阻独见  毋任己意而废人言
毋私小惠而伤大体  毋借公论以快私情
发表于 2026-4-4 09:09:33 | 显示全部楼层
参考8#的图。
固定蓝色半圆半径为 1,当红色半圆圆心横坐标在 (-1, 1) 变动时,

面积差曲线:
面积约束.png
红色半圆与绿色半圆半径比值:
半径比值.png
从图中可以看到,此题应该只有一个解。
毋因群疑而阻独见  毋任己意而废人言
毋私小惠而伤大体  毋借公论以快私情
发表于 2026-4-6 12:35:59 | 显示全部楼层
【计算公式】
1. 给定三角形三个顶点坐标:\(A(x_1,y_1), B(x_2,y_2), C(x_3,y_3)\),
若 \(A,B,C\) 三点按逆时针排列,则三角形的面积为(行列式取正号):
\(S_{\Delta ABC}=\frac{1}{2}\begin{vmatrix} x_2-x_1 & y_2-y_1\\x_3-x_1 & y_3-y_1\end{vmatrix}\)
  1. 三角形面积[{x1_, y1_}, {x2_, y2_}, {x3_, y3_}] := 1/2 Det[{{x2 - x1, y2 - y1}, {x3 - x1, y3 - y1}}]
复制代码

2. 给定圆心为 \(O\) ,半径为 \(r\) 的圆上两点 \(A(x_1,y_1), B(x_2,y_2)\),
利用余弦定理可计算弦 \(AB\) 对应的圆心角为: \(\theta=\angle{AOB}=\cos^{-1}(\frac{2r^2-[(x_1-x_2)^2+(y_1-y_2)^2]}{2r^2})\)
  1. 圆心角[r_, {x1_, y1_}, {x2_, y2_}] :=  ArcCos[(2 r^2 - ((x1 - x2)^2 + (y1 - y2)^2))/(2 r^2)]
复制代码

3. 圆心角 \(\theta\) 对应的扇形面积减去三角形 \(S_{\Delta AOB}\) 的面积,即得到弓形面积: \(\frac{1}{2}r^2(\theta-\sin\theta)\)
  1. 弓形面积[r_, \[Theta]_] := 1/2 r^2 (\[Theta] - Sin[\[Theta]])
复制代码

【面积差函数】
参考#4的图和15#的公式(注:联立8#中的计算公式即可得到15#中蓝色半圆半径 \(\rho\) 的计算表达式),
定义面积差函数(其中 \(k=R/r\), \(R\) 为左侧红色半圆的半径, \(r\) 为右侧绿色半圆的半径):
  1. 面积差[k_, r_] := Module[{
  2.    \[Rho], xm, xn, R,
  3.    xc, yc, xd, yd, xe, ye, xf, yf, xk, yk,
  4.    sBlue, sRed, sGreen,
  5.    \[Theta], s1, s2, s3, s4, s5, s6
  6.    },
  7.   
  8.   R = k r; \[Rho] = Sqrt[((R^2 + 4 R r + r^2) (R^2 + r^2))/(4 R r)];
  9.   
  10.   (*=======================================================*)
  11.   (***计算点坐标***)
  12.   (*=======================================================*)
  13.   {xm, xn} = {(R^2 - r^2 - 2 R r)/(2 Sqrt[R r]), (R^2 - r^2 + 2 R r)/(2 Sqrt[R r])};
  14.   {xc, yc} = {xm - R^2/Sqrt[xm^2 + R^2], R + (R xm)/Sqrt[xm^2 + R^2]};
  15.   {xd, yd} = {xm + R^2/Sqrt[xm^2 + R^2], R - (R xm)/Sqrt[xm^2 + R^2]};
  16.   {xe, ye} = {xn - r^2/Sqrt[xn^2 + r^2], r + (r xn)/Sqrt[xn^2 + r^2]};
  17.   {xf, yf} = {xn + r^2/Sqrt[xn^2 + r^2], r - (r xn)/Sqrt[xn^2 + r^2]};
  18.   {xk, yk} = {(r xm + R xn)/(R + r), (2 R r)/(R + r)};
  19.   
  20.   (*=======================================================*)
  21.   (***计算面积***)
  22.   (*=======================================================*)
  23.   sBlue = 1/2 \[Pi] \[Rho]^2; sRed = 1/2 \[Pi] R^2; sGreen = 1/2 \[Pi] r^2;
  24.   
  25.   \[Theta] = {圆心角[\[Rho], {-\[Rho], 0}, {xc, yc}], 圆心角[R, {xm, 0}, {xc, yc}]};
  26.   s1 = Total[{弓形面积[\[Rho], \[Theta][[1]]], 三角形面积[{-\[Rho], 0}, {xm, 0}, {xc, yc}], -弓形面积[R, \[Theta][[2]]]}];
  27.   
  28.   \[Theta] = 圆心角[R, {xm, 0}, {xk, yk}];
  29.   s2 = Total[{1/2 (R + r) (xn - xm), -(1/2) \[Theta] R^2, -(1/2) (\[Pi] - \[Theta]) r^2}];
  30.   
  31.   \[Theta] = {圆心角[\[Rho], {xd, yd}, {xe, ye}], 圆心角[R, {xd, yd}, {xk, yk}], 圆心角[r, {xe, ye}, {xk, yk}]};
  32.   s3 = Total[{三角形面积[{xk, yk}, {xe, ye}, {xd, yd}], 弓形面积[\[Rho], \[Theta][[1]]], -弓形面积[R, \[Theta][[2]]], -弓形面积[r, \[Theta][[3]]]}];
  33.   
  34.   \[Theta] = {圆心角[\[Rho], {\[Rho], 0}, {xf, yf}], 圆心角[r, {xn, 0}, {xf, yf}]};
  35.   s4 = Total[{弓形面积[\[Rho], \[Theta][[1]]], 三角形面积[{\[Rho], 0}, {xf, yf}, {xn, 0}], -弓形面积[r, \[Theta][[2]]]}];
  36.   
  37.   \[Theta] = 圆心角[\[Rho], {xc, yc}, {xd, yd}];
  38.   s5 = 弓形面积[\[Rho], \[Theta]];
  39.   
  40.   \[Theta] = 圆心角[\[Rho], {xe, ye}, {xf, yf}];
  41.   s6 = 弓形面积[\[Rho], \[Theta]];
  42.   
  43.   (*=======================================================*)
  44.   (***返回面积差***)
  45.   (*=======================================================*)
  46.   s1 - s2 - s3
  47.   ](* end Module 面积差 *)
复制代码

给定 \(r=1\),画 \(面积差(k)\) 的函数曲线:
  1. Plot[面积差[k, 1], {k, 0, 2}, GridLines -> Automatic, PlotLabel -> "面积差(r=1,\[CapitalDelta]S=s1-s2-s3)", AxesLabel -> {k, \[CapitalDelta]S}]
复制代码

面积差.png
求解 \(k\) 值:
  1. FindRoot[面积差[k, 1] == 0, {k, 100.0}, WorkingPrecision -> 100]
复制代码

\(k\) 的 100 位精度值:
1.811272598476327979506318457017155862060071950542671584935945285923807809482012782908518419018888755
毋因群疑而阻独见  毋任己意而废人言
毋私小惠而伤大体  毋借公论以快私情
您需要登录后才可以回帖 登录 | 欢迎注册

本版积分规则

小黑屋|手机版|数学研发网 ( 苏ICP备07505100号 )

GMT+8, 2026-4-18 19:29 , Processed in 0.036660 second(s), 19 queries .

Powered by Discuz! X3.5

© 2001-2026 Discuz! Team.

快速回复 返回顶部 返回列表